本文中,華科智創動平衡機主要對轉子動平衡技術和大家進行分享,希望新老客戶和同行合作伙伴一起探討和學習。主要從校正面的選擇、校正平面數目、平衡轉速、平衡時振動測點、試加平衡質量的選取五個重點講解。
1、校正面的選擇
消除轉子的不平衡,使其處于平衡狀態的操作叫作平衡校正,平衡校正是在垂直與轉子軸線的平面上進行的,該平面稱為校正平面。只需要在一個校正面內校正平衡的方式,稱為消除轉子的不平衡,使其處于平衡狀態的操作叫作平衡校正,平衡校正是在垂直與轉子軸線的平面上進行的,該平面稱為校正平面。
對于薄盤形狀的轉子,力偶不平衡很小,實用上都只做單面平衡。例如飛輪,砂輪,風扇葉片,離合器盤,以及最大外徑為其凈長度的5倍以上的轉子等。
對于初始不平衡量很大,旋轉時振動過大的轉子,在作動平衡之前要做單面平衡,以消除靜不平衡。校正最好是在重心所在的平面內進行,以減少力偶不平衡。若重心所在平面不允許去重時,一般應在位于重心所在平面兩側的兩個平面內進行。
對于剛性轉子而言,一般具有靜不平衡與偶不平衡。可在任意選擇的與軸線相垂直的兩個校正平面內校正其不平衡,即所謂的雙平面平衡。校正方法一般采用加重或去重的方式進行。校正平面的位置一般由轉子的結構決定。為減少在平衡操作中所花費的時間和勞力,應設法減少校正量,為此在可能的條件下,盡可能地增加兩校正面的距離和校正半徑,以取得好的平衡效果。
對于曲軸之類的轉子,由于不平衡量校正的角度位置受到限制,用兩個校正面達不到平衡要求,因此需要采用三面或五面方式。對于實際工作轉速接近或超過臨界轉速的轉子,在工作狀態下已經呈撓性,故在平衡時必須考慮旋轉引起的撓曲。當實際工作轉速接近臨界轉速時,可用多轉速兩個以上校正面平衡;當轉子轉速遠遠超過一階臨界轉速,而達到二階臨界轉速時,就必須采用四校正平面以上的平衡法。
2、校正平面數目
校正平面數目和軸向位里的選取根據振型法的原理,有N法和N+2 法,即根據待平衡的振型階數N確定校正平面的數目。主要原則是平衡低階振型時采用N+2平面,平衡高階振型時采用N個平面。
至于校正平面軸向位置的選取,要考慮以下兩點:能使平衡重量在相應振型下產生較大的平衡效果;在平面上加重的可能性和方便性。
但在實際平衡中,選取的校正平面不但要平衡一階和二階,而且還要平衡三階,要滿足以上兩個條件是比較困難的。所以校正平面實際選取一般盡可能均布在轉子的有效長度內,這樣近似地能滿足上述兩個條件,而且對于減少高階不平衡量也有利。
對于影響系數法,校正平面的數目和軸向位置的確定,都應該以振型法為依據,否則,可能會導致計算出的校正質量過大,在實際中無法實現,或顯著破壞高階振型的平衡。
3、平衡轉速
平衡的目標是保證轉子在一定轉速范圍內振動滿足要求。對于工作轉速至少大于一階臨界轉速的柔性轉子,不但要保證工作轉速下振動滿足要求,而且要保證啟停過程中平穩地通過各階臨界轉速。
4、平衡時振動測點
對于振型法,從理論上來說取一個振動測點即可。對于影響系數法,方程組有解的條件是校正平面數目。測點數的確定包括:測點軸向位置的選取和測點方向的選取。軸向位置的選取原則為:原始振動大;距校正平面較近,且對該平面的加重敏感。
對于其他測點應盡量拋棄,一方面為了減少測點數,另一方面因為這些測點的影響系數正確性較差,代入方程會顯著降低校正質量計算的準確性。測點方向的確定,從理論上說,軸承XYZ三個方向的振動都可以作為平衡計算的依據,但是與不平衡質量有較好線性關系的,一是垂直振動,二是水平振動,最差的是軸向振動。而且水平和軸向振動中,往往會含有較大的非基頻分量(不平衡分量為基頻分量) 。
5、試加平衡質量的選取
無論采用哪種平衡方法,在確定平衡重量之前,都必須正確地選取試加質量。試加平衡質量選取得是否恰當,將直接影響到平衡試驗的成敗,特別是在測振幅的平衡中。當轉子嚴重不平衡時或軸承振動過大時,如果試加平衡質量過小,將不會使軸承振動產生顯著的變化,也就無法求得正確的校正質量的大小和相位。
試重的選取包括大小和相位兩個方面,相位的選取一般根據平衡經驗并參考平衡的歷史記錄。試重的選取主要原則為:最好加在原始不平衡的反方向,以引起振動的減少;試重大小要合適,既要引起一定的振動變化,又不能引起太大的振動變化。
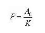
當轉子支承在平衡臺上進行平衡實驗時,單個平衡面試加平衡的大小可由下式計算:

式中,A0為原始振動幅值;K為平衡臺靈敏度系數,m/ (g.m)。
平衡臺靈敏度系數K對剛性一、二階振動是不同的。對于搖擺式和彈性式平衡臺,轉子重5~40T ,在一階振型下,K1=1.5~2.0 m/(g.m);在二階振型下,K2=3.0~4.0m/(g.m)。轉子的質量大小不同,靈敏度系數也就不同。一般地,質量小的轉子取上限,質量大的轉子取下限。
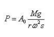
當轉子在自身支承上進行平衡實驗時,每個試加質量由下式估算:

式中:
P——轉子某一側面的試加質量,kg;A0——轉子某一側面軸承原始振動幅值,m;r——試加平衡質量的安裝半徑,m;ω——平衡時轉子的角速度,rad/s;M——轉子的質量,kg;g——重力加速度,m/s2;s——靈敏度系數,對發電廠中的旋轉機械,其值可參考下表。
轉子靈敏度系數參考表(單位:μm/rad2)
1、校正面的選擇
消除轉子的不平衡,使其處于平衡狀態的操作叫作平衡校正,平衡校正是在垂直與轉子軸線的平面上進行的,該平面稱為校正平面。只需要在一個校正面內校正平衡的方式,稱為消除轉子的不平衡,使其處于平衡狀態的操作叫作平衡校正,平衡校正是在垂直與轉子軸線的平面上進行的,該平面稱為校正平面。
對于薄盤形狀的轉子,力偶不平衡很小,實用上都只做單面平衡。例如飛輪,砂輪,風扇葉片,離合器盤,以及最大外徑為其凈長度的5倍以上的轉子等。
對于初始不平衡量很大,旋轉時振動過大的轉子,在作動平衡之前要做單面平衡,以消除靜不平衡。校正最好是在重心所在的平面內進行,以減少力偶不平衡。若重心所在平面不允許去重時,一般應在位于重心所在平面兩側的兩個平面內進行。
對于剛性轉子而言,一般具有靜不平衡與偶不平衡。可在任意選擇的與軸線相垂直的兩個校正平面內校正其不平衡,即所謂的雙平面平衡。校正方法一般采用加重或去重的方式進行。校正平面的位置一般由轉子的結構決定。為減少在平衡操作中所花費的時間和勞力,應設法減少校正量,為此在可能的條件下,盡可能地增加兩校正面的距離和校正半徑,以取得好的平衡效果。
對于曲軸之類的轉子,由于不平衡量校正的角度位置受到限制,用兩個校正面達不到平衡要求,因此需要采用三面或五面方式。對于實際工作轉速接近或超過臨界轉速的轉子,在工作狀態下已經呈撓性,故在平衡時必須考慮旋轉引起的撓曲。當實際工作轉速接近臨界轉速時,可用多轉速兩個以上校正面平衡;當轉子轉速遠遠超過一階臨界轉速,而達到二階臨界轉速時,就必須采用四校正平面以上的平衡法。
2、校正平面數目
校正平面數目和軸向位里的選取根據振型法的原理,有N法和N+2 法,即根據待平衡的振型階數N確定校正平面的數目。主要原則是平衡低階振型時采用N+2平面,平衡高階振型時采用N個平面。
至于校正平面軸向位置的選取,要考慮以下兩點:能使平衡重量在相應振型下產生較大的平衡效果;在平面上加重的可能性和方便性。
但在實際平衡中,選取的校正平面不但要平衡一階和二階,而且還要平衡三階,要滿足以上兩個條件是比較困難的。所以校正平面實際選取一般盡可能均布在轉子的有效長度內,這樣近似地能滿足上述兩個條件,而且對于減少高階不平衡量也有利。
對于影響系數法,校正平面的數目和軸向位置的確定,都應該以振型法為依據,否則,可能會導致計算出的校正質量過大,在實際中無法實現,或顯著破壞高階振型的平衡。
3、平衡轉速
平衡的目標是保證轉子在一定轉速范圍內振動滿足要求。對于工作轉速至少大于一階臨界轉速的柔性轉子,不但要保證工作轉速下振動滿足要求,而且要保證啟停過程中平穩地通過各階臨界轉速。
4、平衡時振動測點
對于振型法,從理論上來說取一個振動測點即可。對于影響系數法,方程組有解的條件是校正平面數目。測點數的確定包括:測點軸向位置的選取和測點方向的選取。軸向位置的選取原則為:原始振動大;距校正平面較近,且對該平面的加重敏感。
對于其他測點應盡量拋棄,一方面為了減少測點數,另一方面因為這些測點的影響系數正確性較差,代入方程會顯著降低校正質量計算的準確性。測點方向的確定,從理論上說,軸承XYZ三個方向的振動都可以作為平衡計算的依據,但是與不平衡質量有較好線性關系的,一是垂直振動,二是水平振動,最差的是軸向振動。而且水平和軸向振動中,往往會含有較大的非基頻分量(不平衡分量為基頻分量) 。
5、試加平衡質量的選取
無論采用哪種平衡方法,在確定平衡重量之前,都必須正確地選取試加質量。試加平衡質量選取得是否恰當,將直接影響到平衡試驗的成敗,特別是在測振幅的平衡中。當轉子嚴重不平衡時或軸承振動過大時,如果試加平衡質量過小,將不會使軸承振動產生顯著的變化,也就無法求得正確的校正質量的大小和相位。
試重的選取包括大小和相位兩個方面,相位的選取一般根據平衡經驗并參考平衡的歷史記錄。試重的選取主要原則為:最好加在原始不平衡的反方向,以引起振動的減少;試重大小要合適,既要引起一定的振動變化,又不能引起太大的振動變化。
當轉子支承在平衡臺上進行平衡實驗時,單個平衡面試加平衡的大小可由下式計算:

式中,A0為原始振動幅值;K為平衡臺靈敏度系數,m/ (g.m)。
平衡臺靈敏度系數K對剛性一、二階振動是不同的。對于搖擺式和彈性式平衡臺,轉子重5~40T ,在一階振型下,K1=1.5~2.0 m/(g.m);在二階振型下,K2=3.0~4.0m/(g.m)。轉子的質量大小不同,靈敏度系數也就不同。一般地,質量小的轉子取上限,質量大的轉子取下限。
當轉子在自身支承上進行平衡實驗時,每個試加質量由下式估算:

式中:
P——轉子某一側面的試加質量,kg;A0——轉子某一側面軸承原始振動幅值,m;r——試加平衡質量的安裝半徑,m;ω——平衡時轉子的角速度,rad/s;M——轉子的質量,kg;g——重力加速度,m/s2;s——靈敏度系數,對發電廠中的旋轉機械,其值可參考下表。
轉子靈敏度系數參考表(單位:μm/rad2)

711 瀏覽